Dive into DEV

  • 홈
  • 태그
  • 방명록

GradientDescent 1

week1 - 신경망 학습 (Loss Function, Gradient Descent)

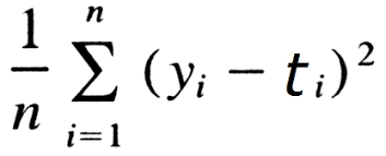
신경망 학습 학습이란 훈련 데이터(Train Data)로부터 가중치 매개변수를 갱신하며 최적의 값을 찾는 것 입니다. 이렇게 최적의 값을 찾을 때에 사용하는 하나의 지표가 Loss Function(손실 함수) 입니다. Loss Function (손실함수) 손실함수는 신경망이 학습할 수 있도록 해주는 지표입니다. 정답과 출력값의 차이, 즉 오차를 말합니다. 이 손실함수 값(=오차)이 최소화되도록 하는 가중치와 편향을 찾습니다 (=학습합니다) 일반적으로는 MSE 혹은 Cross Entropy를 사용합니다. 평균 제곱 오차(Mean Squared Error : MSE) 계산이 간편하여 가장 많이 사용되는 손실 함수입니다. 거리가 음수로 나왔을 때 합산된 오차가 상쇄될 수 있기 때문에 각 거리 차이를 제곱하여 ..

대외활동/DSC CV Study 2020.01.07
이전
1
다음
더보기
프로필사진

Dive into DEV

  • 분류 전체보기
    • 스프링
    • 자바
    • 프로젝트 정리
    • Spring Boot
    • Android
    • Golang
    • 인공지능
      • Computer Vision
      • 데이터 분석
      • OpenCV
    • 대외활동
      • DSC Duksung
      • DSC CV Study
      • 인턴 일기

Tag

Android, ComputerVision, 데이터분석, Gopher, springboot, Framework, nomadcoders, Golang, Python, Spring, CNN, tensorflow, 토비의스프링, go, CV, Project, transferlearning, Kafka, 컴퓨터비전, OpenCV,

최근글과 인기글

  • 최근글
  • 인기글

최근댓글

공지사항

페이스북 트위터 플러그인

  • Facebook
  • Twitter

Archives

Calendar

«   2025/10   »
일 월 화 수 목 금 토
1 2 3 4
5 6 7 8 9 10 11
12 13 14 15 16 17 18
19 20 21 22 23 24 25
26 27 28 29 30 31

방문자수Total

  • Today :
  • Yesterday :

Copyright © Kakao Corp. All rights reserved.

티스토리툴바